球速体育官方平台入口
欢迎访问球速体育
|
学校球速体育官方平台入口
|
后台登录
主页
球速 概况
球速 介绍
现任领导
行政人员
师资队伍
所有教师
教授
副教授
讲师
助教
退休教师风采
本科生教育
专业介绍
培养方案
研究生教育
专业介绍
导师介绍
学术科研
科研管理
科研成果
学术活动
党群工作
组织机构
规章制度
组织生活
工会活动
团学工作
学工动态
文档下载
教学科研管理文件
实验室管理文件
学生管理文件
其他管理文件
学生作品
书记院长邮箱
新闻公告
球速 新闻
球速 公告
当前位置:
主页
>>
球速 公告
>> 正文
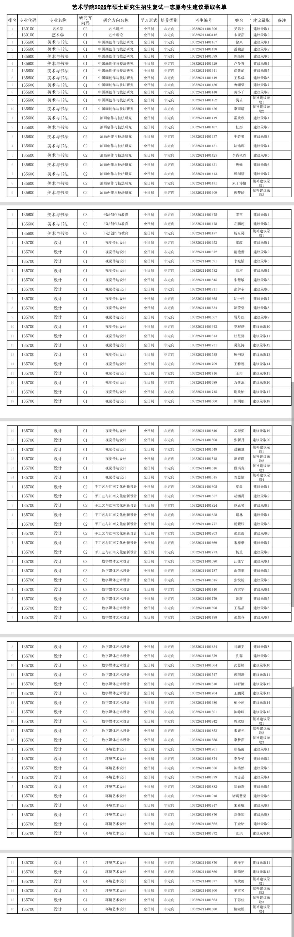
球速体育 2026年硕士研究生招生复试一志愿考生建议录取名单
作者: 编辑:严万祺 图片作者: 发表时间:2026-03-30 浏览次数:
下一条:
球速体育官网 2026年硕士研究生招生复试录取工作实施细则